Home

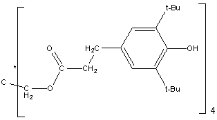
Pentaerythritol tetrakis (3-(3,5-di-tert-butyl- 4-hydroxyphenyl) propionate)    CAS # 6683-19-8

Molecular weight 1177.7
Equivalent weight NA
Formula C73H108O12
Toxicity/Safety See MSDS of supplier
.
Properties
Typical
Appearance White to off-white powder
Melting point,  ºC  (ºF) 110 - 125   (230 - 257)
Flash point, ºC  (ºF), Open cup 297  (567)
Autoignition Temperature, °C (°F)  > 350 (662)
Light Transmitability,  425 nm    (500 nm ) 96% min.    ( 98% min.)
Vapor pressure, , 20ºC  (68ºF),  mm Hg ~ 1 x 10-12 
Specific gravity, 20ºC,  68ºF, g/ml 1.1 - 1.2
Regulatory Inventory .
CAS REGISTRY NUMBER #   6683-19-8 NAME :  Benzenepropanoic acid, 3,5-bis(1,1-dimethylethyl)-4-hydroxy-, 2,2-bis[[3-[3,5-bis(1,1-dimethylethyl)-4-hydroxyphenyl] -1-oxopropoxy]methyl]-1,3-propanediyl ester 
TSCA USA Yes
DSL Canada Yes
EINECS Europe EINECS No. 229-722-6   Yes
ASIA-PAC Australia, China, Japan, Korea, Philippines, and Taiwan   Yes
ENCS Japan ENCS No. 3-1693   Yes
ECL Korea  ECL Serial No. KE-03066   Yes
The fact that a compound is not listed under a specific CAS # in a countries inventory does not mean this compound cannot be used, it can be an exempt compound or polymer which does not require listing, or it can be listed in a different category. Ask your supplier.
Other names: 
Tetrakis [methylene-3-(3', 5'-di-t-butyl-4'-hydroxyphenyl) propionate]methane
Hydrocinnamic acid, 3,5-di-tert-butyl-4-hydroxy-, neopentanetetrayl ester
Hydrocinnamic acid, 3,5-di-tert-butyl-4-hydroxy-, tetraester with pentaerythritol
Neopentanetetrayl 3,5-di-tert-butyl-4-hydroxyhydrocinnamate
Pentaerythritol  4-hydroxy-3,5-di-tert-butylphenylpropionate
Pentaerythritol tetrakis ester with 3-(3,5-di-tert-butyl-4-hydroxyphenyl)propionic acid
 tetrakis[3-(3,5-di-tert-butyl-4-hydroxyphenyl)propionate]
Commercial Products or generic terms used for products. For manufacturer see Additives MFCT.
A0 60 ADK Stab AO 60 Anox 20 Anox 20AM Antioxidant 1010
AO 1 AO 1010 AO 60 Arenox A 10 Cyanox 2110
Dovernox 10 Fenozan 22 Fenozan 23 Hostanox O 10 IR 1010
Irganox 1010 Irganox 1010FF Irganox 1010FP Irganox 1040 Irganox RA 1010
IX 1010 KY 7910 Mark AO 60 Naugard 10 Phenosane 23
RA 1010 Ralox 630 Sumilizer BP 101 Tetraalkofen BPE Tominox TT
Tominox TT 50 Ultranox 210 Westco 1010 
Some of these product names might not be commercial anymore, the product names still might be in old formulations

Last edited on:

July 11, 2006

Copyright®, Design, Layout and Technical Content by: